
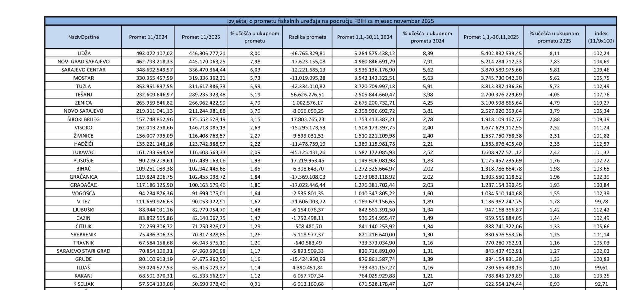
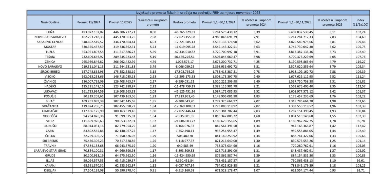
Fiscal turnover in the Federation of BiH in November this year decreased by 325 million KM according to official data from the Tax Administration of FBiH compared to November 2024, despite significant inflation and price growth of all goods and services.
The results by individual municipalities can be seen in the table as well as on the Tax Administration link below:
Ilidža – 46.7 million KM New City Sarajevo. – 17.6 million KM Centar – 12 million KM Tuzla – 42.3 million KM Novo Sarajevo – 8 million KM Visoko – 15 million KM Živinice. – 9 million KM Hadžići – 11 million KM Lukavac. – 45 million KM Gračanica – 17 million KM Gradačac – 17 million KM Etc…
https://i.redd.it/lrfcezxovj8g1.jpeg
Posted by RisingTensionz

8 Comments
Do cega je u pm
https://www.klix.ba/biznis/privreda/novembarski-pad-fiskalnog-prometa-u-fbih-od-325-miliona-km-stezu-li-gradani-kais-ili-je-kriva-neradna-nedjelja/251221041
Kolkko vidim vecina je u plusu YTD malo je clickbait tema.
JAI?
Dobro i sta sad? Objasni.
Ma nebitna tema, hajde bolan – ima li kakva utakmica negdje? Sta Dodik priča? Hoce li Rusija napasti EU? Ovo sto je OP postavio – sitnica, nista to
Možda narod više neće da plaća čokolade po 3-4 marke i pileći sendvič od 9 maraka
Da a broj zaposlenih za 5000 cini mi se.
Kada se uzme u obzir masovno zaposljavanje u Javnom sektoru u prerhodnom periodu dolazi se do zakljucka da je doslo do veceg broja pada radnih mjesta u realnom sektoru – u sustini od onog opstaje drzava.
Dakle :
Neradna nedjelja – udaris na trgovine
Zabrana pusenja – udaris na kafice-devastiras sve manje kafanice i cafe barove.
Dignes min placu za skoro 400 km preko noci – devastiras sve manje obrte isl.
Evo i sada ide povecanje osnovica za obrtnike za od 50-150 KM.
Jbg hoces da ti Nermin Niksic i Toni i ekipa vode drzavu.